ਹੋਰਨਾਂ ਯੋਜਨਾਵਾਂ ਤੋਂ ਵੀ ਵਸੂਲਿਆ ਗਿਆ ਕਰੋੜਾਂ ਦਾ ਟੈਕਸ
ਨਵੀਂ ਦਿੱਲੀ: ਕੇਂਦਰ ਦੀ ਮੋਦੀ ਸਰਕਾਰ ਨੇ ਖੇਤੀ ਕਲਿਆਣ ਸੈੱਸ ਖ਼ਤਮ ਕੀਤੇ ਜਾਣ ਤੋਂ ਬਾਅਦ ਵੀ ਇਸ ਦੇ ਤਹਿਤ ਜਨਤਾ ਤੋਂ 1300 ਕਰੋੜ ਰੁਪਏ ਤੋਂ ਜ਼ਿਆਦਾ ਦਾ ਟੈਕਸ ਵਸੂਲਿਆ ਹੈ। ਜੀਐਸਟੀ ਲਾਗੂ ਕਰਨ ਲਈ ਵਿੱਤ ਮੰਤਰਾਲੇ ਦੁਆਰਾ ਹੌਲੀ ਹੌਲੀ ਸਾਰੇ ਸੈੱਸ ਖ਼ਤਮ ਕਰ ਦਿੱਤੇ ਗਏ ਸਨ। ਇਸ ਦੇ ਨਾਲ ਹੀ ਖੇਤੀ ਕਲਿਆਣ ਸੈੱਸ ਨੂੰ ਵੀ ਖ਼ਤਮ ਕਰ ਦਿੱਤਾ ਗਿਆ ਸੀ।
GST
ਹਾਲਾਂਕਿ ਵਿੱਤ ਮੰਤਰਾਲੇ ਦੇ ਰੇਵੈਨਿਊ ਵਿਭਾਗ ਦੇ ਸਿਸਟਮ ਅਤੇ ਡਾਟਾ ਪ੍ਰਬੰਧ ਦੇ ਡਾਇਰੈਕਟਰੇਟ ਜਰਨਲ ਨੇ ਆਰਟੀਆਈ ਦੀ ਅਪੀਲ ਤਹਿਤ ਜਾਣਕਾਰੀ ਦਿੱਤੀ ਹੈ ਕਿ ਇਕ ਜੁਲਾਈ 2017 ਤੋਂ ਬਾਅਦ 1340.55 ਕਰੋੜ ਰੁਪਏ ਦਾ ਸਵੱਛ ਭਾਰਤ ਸੈੱਸ ਵਸੂਲਿਆ ਗਿਆ ਹੈ। ਵਿੱਤ ਮੰਤਰਾਲੇ ਵਿਚ ਰਾਜ ਮੰਤਰੀ ਸ਼ਿਵ ਪ੍ਰਤਾਪ ਸ਼ੁਕਲਾ ਨੇ 6 ਮਾਰਚ 2018 ਨੂੰ ਰਾਜ ਸਭਾ ਵਿਚ ਜਵਾਬ ਦਿੰਦੇ ਹੋਏ ਕਿਹਾ ਕਿ ਇਕ ਜੁਲਾਈ 2017 ਤੋਂ ਸਵੱਛ ਭਾਰਤ ਸੈੱਸ ਅਤੇ ਖੇਤੀ ਕਲਿਆਣ ਸੈੱਸ ਖ਼ਤਮ ਕਰ ਦਿੱਤਾ ਗਿਆ ਹੈ।
List
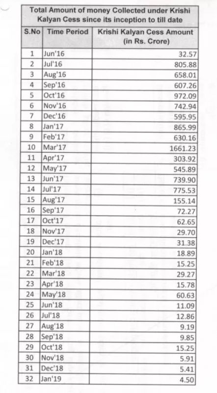
ਇਸ ਤੋਂ ਇਲਾਵਾ ਵਿੱਤ ਮੰਤਰਾਲੇ ਦੁਆਰਾ 7 ਜੂਨ 2017 ਨੂੰ ਜਾਰੀ ਇਕ ਪ੍ਰੈੱਸ ਰਿਲੀਜ਼ ਵਿਚ ਵੀ ਦਸਿਆ ਗਿਆ ਕਿ ਜੀਐਸਟੀ ਨੂੰ ਲਾਗੂ ਕਰਨ ਲਈ ਇਕ ਜੁਲਾਈ 2017 ਤੋਂ ਖੇਤੀ ਕਲਿਆਣ ਸੈੱਸ ਸਮੇਤ ਕਈ ਸੈੱਸ ਖ਼ਤਮ ਕੀਤੇ ਜਾ ਰਹੇ ਹਨ। ਖੇਤੀ ਕਲਿਆਣ ਸੈੱਸ ਖ਼ਤਮ ਹੋਣ ਤੋਂ ਬਾਅਦ ਵੀ ਇਸ ਦੇ ਤਹਿਤ ਪੈਸਾ ਵਸੂਲ ਕਰਨਾ ਸਰਕਾਰ ’ਤੇ ਗੰਭੀਰ ਸਵਾਲ ਖੜ੍ਹਾ ਕਰਦਾ ਹੈ। ਆਰਟੀਆਈ ਤੋਂ ਮਿਲੀ ਜਾਣਕਾਰੀ ਮੁਤਾਬਕ ਸਾਲ 2016 ਤੋਂ ਲੈ ਕੇ ਹੁਣ ਤਕ ਕੁੱਲ 10502.34 ਕਰੋੜ ਰੁਪਏ ਦਾ ਖੇਤੀ ਕਲਿਆਣ ਸੈੱਸ ਵਸੂਲਿਆ ਗਿਆ ਹੈ।
Money
ਖੇਤੀ ਮੰਤਰਾਲੇ ਨੇ ਦਸਿਆ ਗਿਆ ਕਿ ਸਾਲ 2016-17 ਅਤੇ 2017-18 ਦੌਰਾਨ ਖੇਤੀ ਕਲਿਆਣ ਸੈੱਸ ਤਹਿਤ ਜੋ ਪੈਸੇ ਪ੍ਰਾਪਤ ਹੋਏ ਸੀ ਉਹਨਾਂ ਨੂੰ ਪ੍ਰਧਾਨ ਮੰਤਰੀ ਬੀਮਾ ਯੋਜਨਾ ਅਤੇ ਕਿਸਾਨਾਂ ਦੇ ਕਰਜ਼ ’ਤੇ ਸਬਸਿਡੀ ਦੇਣ ਵਿਚ ਖਰਚ ਕੀਤਾ ਗਿਆ ਹੈ। ਹਾਲਾਂਕਿ ਮੰਤਰਾਲੇ ਨੇ ਇਸ ਦੀ ਜਾਣਕਾਰੀ ਨਹੀਂ ਦਿੱਤੀ ਕਿ ਆਖਰ ਜੋ ਪੈਸੇ ਖੇਤੀ ਕਲਿਆਣ ਸੈੱਸ ਨੂੰ ਬੰਦ ਕੀਤੇ ਜਾਣ ਤੋਂ ਬਾਅਦ ਵੀ ਵਸੂਲਿਆ ਗਿਆ ਹੈ ਉਸ ਨੂੰ ਕਿਸ ਕੰਮ ਲਈ ਵਰਤਿਆ ਗਿਆ ਹੈ। ਇਸ ਸਬੰਧੀ ਕੋਈ ਜਾਣਕਾਰੀ ਨਹੀਂ ਪ੍ਰਾਪਤ ਹੋਈ।
